sergio torres

sergio torres

 Colombia @sergiotorres6 desde - visto
Preguntar

Preguntas

Pregunta en y en 2 temas más

Estados de la materia en química

Agradezco me puedan aclarar la siguiente pregunta y su respuesta con argumentos. Gracias Los cambios de estado son considerados cambios físicos por que influyen condiciones externas que no alteran la composición o naturaleza de la sustancia tales...
Pregunta en y en 2 temas más

Agradezco correcciones de past perfect.

Agradezco su colaboración la corrección en la redacción de las siguiente información en past perfect. Gracias 1. Python was created because java had had an appropriate code for its base. 2. Python was created for the Amoeba Operating System when the...
Pregunta en y en 2 temas más

¿Esta bien redactada la información?

Agradezco su colaboración la corrección en la redacción de las siguiente información en past tence and past continuous. Gracias .
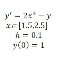
Pregunta en y en 1 temas más

Dar solución numérica a la siguiente ecuación

Agradezco colaboración con la siguiente solución numérica por medio del método Runge - Kutta de esta ecuación en la cual se detallen los pasos a seguir en su desarrollo. Muchas gracias.
Pregunta en y en 3 temas más

Duda sobre grafos eulerianos y hamiltonianos

Agradezco de su clabracion con la identificación de las siguientes imágenes y su relación sobre grafos eulerianos y hamiltonianos . Y el porque.
Sin respuestas
Pregunta en y en 2 temas más

Scrip interactivo linux calculo de dias

Crear un script interactivo que calcule el número de días entre dos fechas introducidas por el usuario en el siguiente formato día/mes/año. También se deberá calcular el número de horas si el usuario introduce hora de inicio y hora de final en el...
Pregunta en y en 1 temas más

Agradezco de su colaboración con esta ecuación diferencial por método de separación

Agradezco de su colaboración con esta ecuación diferencial por método de separación de variables. Necesito si se puede ser desarrollada en totalidad, estoy completamente perdido y agradezco un desarrollo explicado y a q es un tema q me ha estado...