Pregunta en
Química
Indique el tipo de enlace que une los siguientes elementos, use los valores de electronegatividad.

Sin respuestas
Pregunta en
Ingeniería Electrónica
y en 1 temas más
Determine la configuración electrónica de cada elemento
Pregunta en
Química
y en 1 temas más
Determine la masa molar de algunos compuestos de la ecuación dada en elliteral

Sin respuestas
Pregunta en
Química
y en 1 temas más
Determine el número de oxidación de los elementos de cada compuesto de laecuación.

Sin respuestas
Pregunta en
Química
y en 1 temas más
Balancee la siguiente ecuación química por el método de Oxidación –Reducción

Sin respuestas
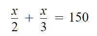
Pregunta en
Matemáticas
y en 2 temas más
Escribir una ecuación acorde con el enunciado: “La mitad de un número más un tercio del mismo es igual a 150”.
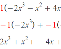
Pregunta en
Matemáticas
Suma y Resta de Polinomios (2x³ + 3x² - 4x + 9) - (-2x³ - x² + 4x - 9)
Pregunta en
Matemáticas
y en 1 temas más