Jhonn Vargas

Jhonn Vargas

Me sigues te sigo, No soy de rutinas, lo que se de
 1.675 puntos  Ciudad de México, México @rccaballero desde - visto
Preguntar

Preguntas

Pregunta en y en 2 temas más

Como determino la imagen de f(z)=e^{z} en el plano complejo

Como determino la imagen de la función exponencial en el plano complejo Es complejo dado que el intervalo de [-π, π]
Pregunta en y en 3 temas más

Debo demostrar que se cumplen las ecuaciones cauchy-riemann

Encontré las derivadas parciales de esta función de dos variables pero veo que no cumplen las ecuaciones de cauchy riemann como puedo ver en z=0 agradecería mucho su respuesta.
Pregunta en y en 2 temas más

Duda con este problema de variable compleja

El problema es muy ambiguo casi no da pistas de como resolverlo espero su ayuda.
Pregunta en y en 3 temas más

Duda con este problema de distribución de poisson

¿Cómo podría resolver este problema debido a que encuentro la función verosimilitud sin embargo no logro comprender cuando es insesgado o consistente?.
Sin respuestas
Pregunta en y en 3 temas más

Duda con problema de distribución uniforme

Tengo una duda con este problema de estadística. Tengo los siguientes datos Sin embargo no logro determinar la diferencia para ver que dicho intervalo no sea vacío.
Sin respuestas
Pregunta en y en 3 temas más

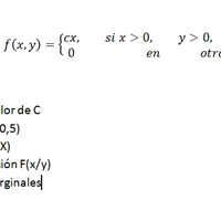
Dudas problemas de densidad conjunta

Me encuentro realizando un problema de estadística, la temática es Densidad de probabilidad conjunta y continua podrían explicarme como para realizarlo.
Pregunta en y en 3 temas más

Tengo una duda con este problema de física de campos y ondas

E Ste problema es sacado del libro de problemas de propagación de ondas entonces no comprendo por donde debo partir,.
Sin respuestas
Pregunta en y en 3 temas más

Tengo una duda con este problema de álgebra lineal

Tengo dudas con este problema de álgebra lineal no logro encontrar las constantes que piden y no logro entender como hacerlo
Pregunta en y en 4 temas más

Tengo una duda con una ecuación de 4 incógnitas

¿Cómo podría resolver un sistema de ecuaciones de 4 incógnitas? 1) a u + 3 b v= 1 2) b u + a v = 0 Esas son las respuestas en función de otra
Pregunta en y en 2 temas más

Duda con problema de álgebra lineal

Tengo dificultades con estos problemas de álgebra lineal son algo complicados no logro entenderlos Pueden colaborarme con el 3 y 4
Sin respuestas