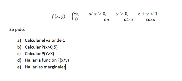
Dudas problemas de densidad conjunta
Me encuentro realizando un problema de estadística, la temática es Densidad de probabilidad conjunta y continua podrían explicarme como para realizarlo. 
1 Respuesta
Respuesta
1

