Duda con problema de álgebra lineal
Tengo dificultades con estos problemas de álgebra lineal son algo complicados no logro entenderlos

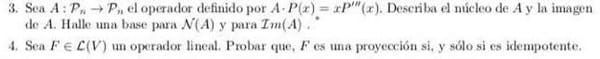
Pueden colaborarme con el 3 y 4
Tengo dificultades con estos problemas de álgebra lineal son algo complicados no logro entenderlos

Pueden colaborarme con el 3 y 4