Pregunta en
Química
Calcular porcentaje en peso de un soluto
4. El ácido clorhídrico se prepara disolviendo HCl (gas) en agua. Cuando se disuelven 150 L en HCl gaseoso, medido a 15ºC y 1 atm, en 500 mL en agua, se obtiene una disolución de densidad 1.17 g/mL. Calcular: a) El tanto por ciento en peso. B) Los...
Pregunta en
Matemáticas
Buscar media y desviación típica desconocidas
La variable x representa la altura de los alumnos de una clase que sigue una distribución normal de media y desviación típicas desconocidas. Sabemos que la probabilidad de que un alumno mida más de 175 cm es 0.1056 y la de que mida menos de 167 cm es...
Sin respuestas
Pregunta en
Matemáticas
Problema de probabilidad. Proporción entre dos
Los participantes en una prueba de orientación extrema disponen de dos mapas para consultar durante la misma. La probabilidad de que la senda a seguir sea la correcta es del 92% en cada mapa. Un participante llegará a la meta si conserva al menos uno...
Sin respuestas
Pregunta en
Matemáticas
Tamaño de muestra para cometer un error máximo
Queremos determinar el porcentaje de estudiantes que necesitan gafas. De un estudio anterior sabemos que el 65% de ellos usaban gafas. A) ¿Qué tamaño de muestra debemos coger para cometer un error máximo de 5% con nivel de riesgo del 5%) b) Si no...
Pregunta en
Matemáticas
Sistema de ecuaciones por Gauss o Cramer
Elena y Alejandro, decidieron hacer un regalo. El regalo vale 24,8 euros. Reúnen esa cantidad de forma que Alejandro aporta una tercera parte de lo que aportan las otras dos juntas y Elena aporte 3 céntimos de euro por cada 2 que aporte Irene. ¿Qué...
Pregunta en
Matemáticas
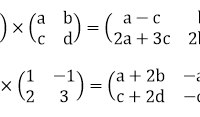
Matrices que conmutan con otra dada
Halla las matrices que conmutan con: X = 1 -1 2 3
Pregunta en
Matemáticas
Diferencia de medias. Contraste de hipótesis
Para determinar si existen diferencias significativas entre dos grupos de estudiantes, se realiza el mismo examen a 30 estudiantes del primer grupo y a 35 del segundo, obteniéndose los siguientes datos: Grupo 1: nota media: 5,5 y desviación típica:...
Pregunta en
Matemáticas
Matrices que conmutan con una dada
Pregunta en
Matemáticas
Problema Programación lineal obtener restricciones
Para la desinfección de una piscina es necesario un máximo de 2,4 litros de un producto A y un mínimo de 2,5 litros de otro producto B. En el mercado se comercializan dos preparados M y N al precio de 10 y 30 euros el litro, respectivamente. En la...
Pregunta en
Matemáticas
Problema de probabilidad. Operaciones con sucesos
Sean A y B dos sucesos de un espacio de sucesos S, tales que P(A)=2/5; P(B)=1/3 y P(AUB)= 2/3. Se pide: a) P(Ac) y P(Bc) ( contrario) b) P(Ac U Bc) y P(A intersección B) c) P ( A intersección Bc) y P ( Ac intersección Bc) Nota: escribir A = ( A...
