Pregunta en
Ingeniería Electrónica
y en 4 temas más
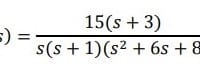
Como Puedo resolver este Ejercicio de Sistema de Control avanzado

Sin respuestas
Pregunta en
Ingeniería Electrónica
y en 4 temas más
Como resolver este problema de Ingeniería en Control

Sin respuestas
Pregunta en
Fútbol
y en 3 temas más
Que opinas del nuevo equipo de fútbol femenino del Real Zaragoza
Aquí vean la nota completa https://cadenaser.com/emisora/2021/06/17/radio_zaragoza/1623904601_108862.html
Sin respuestas
Pregunta en
Fútbol
y en 2 temas más
Que opinas de Norma Palafox
Me gustaría saber que piensan y opinan sobre Norma Palafox No se si es muy conocida en su país de ustedes https://www.instagram.com/normapalafox_/
Sin respuestas
Pregunta en
Paranormal
y en 4 temas más
Porqué tuve este sueño tan extraño
Bueno ayer soñé con mis primas y tíos,. Soñé que venían a visitarnos y que mis tíos llevaban cosas para comer pan y jamón ese fue mi sueño Esto ya es aparte no tiene que ver con mis sueño De hecho he platicado con mis primas íntimamente porque apenas...
Pregunta en
Fútbol
y en 4 temas más
Que opinas de la liga mx femenil
Me gustaría saber cual es tu opinión respecto a la liga mx femenil ¿Qué me puedes decir acerca de esto? ¿Por qué? Https://www.ligafemenil.mx/
Pregunta en
Fútbol
Creen que carlos slim fiche a ambos jugadores para su real oviedo en un futuro
Ustedes creen que ambos llegue al real oviedo si este logra ascender a la liga santander y liga iberdrola respectivamente https://us.as.com/us/2019/01/15/futbol/1547573156_211552.html O que jugadores mexicanos y jugadoras mexicanas crees que fiche o...
Sin respuestas
Pregunta en
Deportes
y en 1 temas más
Que opinas de la d1 femenina de francia
Https://www.fff.fr/championnats/fff/federation-francaise-de-football/2017/341889-d1-feminine/phase-1/poule-1/derniers-resultats
Sin respuestas
Pregunta en
Relaciones de pareja
y en 4 temas más
Porque esta muchacha se comporta de esta manera con migo si ella ya tiene novio
Quiero saber porque mi compañera de la universidad hace esto, bueno yo cuando me despedí de ella de beso en la mejilla me dijo bye corazón, aparte una vez me envío un audio diciendo mi nombre y porque no me saludaste ya que yo le había dicho hola a...
Pregunta en
Correo electrónico
y en 4 temas más
¿Qué opinan de yahoo respuestas?
Que opinan de yahoo respuestas y también de estos foros Latinask, coffeeask, donutask, agorapreguntas.net Quora