Como resolver este problema de Ingeniería en Control
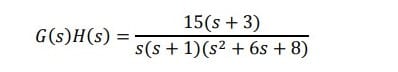
Se tiene un sistema de control donde:
Obtenga los gráficos de Bode, calcule los márgenes de ganancia y de fase, por ultimo localice en los gráficos de bode como se miden los márgenes y en base a lo anterior decida si el sistema es o no estable
