Pregunta en
Matemáticas
y en 1 temas más
Una ecuación diferencial de la forma que no es exacta, es decir, se puede convertir
Pregunta en
Matemáticas
y en 1 temas más
Calcula las siguientes derivadas de orden superior.
Pregunta en
Matemáticas
y en 1 temas más
Calcula las siguientes Derivadas Implícitas
Pregunta en
Matemáticas
y en 1 temas más
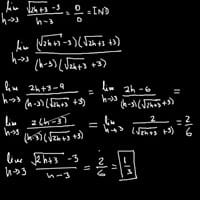
Resolver los siguientes limites intrioduccion al calculo diferencial
Pregunta en
Matemáticas
A un evaporador entran 10000 kg/h de un jugo de caña de azúcar que tiene una concentración de sacarosa del 15%.
Pregunta en
Matemáticas
Actividad de problema Un depósito contiene 500 lt de líquido en el que se disuelven 20 gr de sal
Pregunta en
Matemáticas
y en 1 temas más
Desarrollar El factor integrante y la solución general de la ecuación diferencial
Pregunta en
Matemáticas
Resolver Una ecuación diferencial de la forma ,
Pregunta en
Cálculo
y en 2 temas más
