Pregunta en
Química
y en 2 temas más
. ¿Qué masa de HNO3 se requiere para producir 239 g de NO, de acuerdo a la reacción? :HNO3 + H2S → NO + S + H2O
Pregunta en
Matemáticas
y en 3 temas más
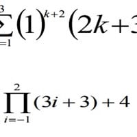
Evaluar y analizar toda lasolución a la situación plantea, si consideran que todo elproceso y respuesta se encuentra de manera
Pregunta en
Química
y en 3 temas más
2. Reacciones por el método del ión electrón, teniendo en cuenta el carácter del medio (ácido, básico o neutro
Pregunta en
Química
y en 2 temas más
Cada estudiante balanceara una ecuación por el método de óxido-reducción y método ion electrón de la siguiente lista
Pregunta en
Ingeniería Eléctrica
y en 2 temas más
Supongamos un condensador que tiene una diferencia de potencial Vo entre sus placas cuando se tiene una línea conductora R
Pregunta en
Matemáticas
y en 2 temas más
Ecuaciones Difer :Hallar la solución general de la siguiente ecuación como una serie de potencialalrededor del punto x=0
Buen día amigos de todo expertos espero me ayuden a solucionar este ejercicio de ecuación diferencial y como siempre muy agradecido recuerden que yo siempre punteo excelente
Sin respuestas
Pregunta en
Ingeniería Industrial
y en 4 temas más
Una caldera acuotubular, produce vapor recalentado o de alta (presión alta) en una cantidad determin
Hacer un diagrama de bloques en Excel representando la totalidad de equipos involucrados en la situación industrial que se menciona, el diagrama debe incluir todas las corrientes de entrada y salida de cada equipo, de tal forma que todos los equipos...
Sin respuestas
Pregunta en
Física
y en 2 temas más
Resolver el siguiente ejercicio de termodinámica
Pregunta en
Matemáticas
y en 2 temas más
6. Demostrar que la ecuación: 4x ^2 – 20x – 24y + 97 = 0 representa una parábola. Determine:
Pregunta en
Matemáticas
