Omar Monroy

Omar Monroy

 Colombia @omarmonroy desde - visto
Preguntar

Preguntas

Pregunta en y en 1 temas más

Aplicando las reglas de laderivación calcular las siguientesderivadas

Aplicando reglas de la derivación calcular las siguientes derivadas. ------------- ----------- --------- ---------- -------------- ------ - ----- ---------- ------------ ------------- ------------------------- ------- ------------- -------...
Pregunta en y en 1 temas más

Dos conductores largos y paralelos separados 15 cm, transportan corrientes en una misma dirección. El primer alambre lleva una c

Dos conductores largos y paralelos separados 15cm, transportan corrientes en una misma dirección. El primer alambre lleva una corriente I1=8 y el segundo lleva una I2=13A . A) ¿Cuál es la magnitud del campo magnético producido por en la ubicación de?...
Pregunta en y en 2 temas más

2. Sobre una superficie horizontal rugosa se ubica una masa de 1.90 kg que está unida a otras dos masas de 4.10 kg y 6.90 kg, co

. Sobre una superficie horizontal rugosa se ubica una masa de kg que está unida a otras dos masas de kg y kg, como lo muestra la figura 2. Si la mesa tiene un coeficiente de fricción de deslizamiento de y se considera que la masa de la cuerda es...
Pregunta en y en 2 temas más

En el sistema que se muestra en la figura 1, una fuerza oblicua F ⃗ forma un ángulo 16.7 y actúa sobre el objeto de 5.40 kg.

Trace los diagramas de cuerpo libre para cada uno de los dos bloques.Aplique el método newtoniano para determinar la aceleración del bloque de kg, en función de .Trace una gráfica cuantitativa de en función de (incluyendo valores negativos de )....
Pregunta en

4. Encuentre la distancia entre el punto (1, 2, 3) y el plano

1. Encuentre la distancia entre el punto (1, 2, 3) y el plano y su gráfica correspondiente. ---------- --------- ------------- ------------- ------------------ --------------- --------------- --------------- -------------- -------------- ------------...
Pregunta en

Realizar la solución del siguiente ejercicio

Buenas noches me podrían colaborar con la solución de la ecuación ... ... ... ... ... ... ... ... ... ... ...
Pregunta en

Hallar el resultado del siguiente ejercicio y

Hallar la solución a la siguiente ecuación y demostrarla, ... . . . ... ... ... ... ... ... ... ----------- ---------- -------- ------------ ------------------- ----------
Pregunta en

3. Encuentre las ecuaciones paramétricas y simétricas de la línea a través de los puntos

1. Encuentre las ecuaciones paramétricas y simétricas de la línea a través de los puntos. 1. Encuentre las ecuaciones paramétricas y simétricas de la línea a través de los puntos (1, 2, 0) y (-5, 4, 2)............... ------------------------...
Pregunta en

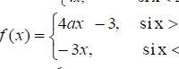
Ejercicio encontrar los valores de (a) que hace que la función atrozos sea continua...

Ejercicio encontrar los valores de (a) que hace que la función a trozos sea continua, me podrian colaborar
Pregunta en

Resolver la siguiente ecuación demostrando el paso a paso

Buenas noches me podrían colaborar con al solución dde esta ecuación, y demostrando paso a paso la resolución de esta ecuación