Michael Cooper

Michael Cooper

 Honduras @michaelcooper desde - visto
Preguntar

Preguntas

Pregunta en y en 2 temas más

Alguien que me explique paso a paso calcular el valor de x

Alguien con paciencia me explique bien como hacer paso a paso este tipo de ejercicio
Pregunta en y en 2 temas más

Explicación paso a paso de estas ecuaciones lineales

A ver si me pueden ayudar a explicar paso a paso como resolver los siguientes ejercicios Los que tiene raíz me cuestan bastante D:
Pregunta en y en 2 temas más

¿Me explican paso a paso con estas ecuaciones cuadráticas?

Ayudenme con estos si pueden con paciencia me explican y me dan algunos tips pronto examen
Pregunta en y en 2 temas más

Mañana examen ocupo me expliquen factorización paso por paso

Ocupo alguien con paciencia me explique bien esto por favor, no tengo idea de como hacerlo
Pregunta en y en 2 temas más

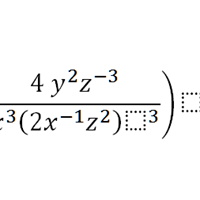
Como simplifico esto? Explicacion porfa

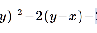
Ayuda con este problema pasa a paso porfavor, ocupo entender lo basico para resolver estos problemas

Suscríbete RSS