Mario Rodríguez

Mario Rodríguez

 77,3K puntos  Argentina @mariorodriguez desde - visto
Preguntar

Respuestas en Matemáticas

¿Que es lo que estoy haciendo mal?

. :) Hola! Vanesa. Te has hecho reir pues terminas "demostrando" que todo número es igual a su doble... Y lo que me causó gracias es recordar que "esta broma matemática" debe tener 100, 200 o quizás más años: ¡Y no pierde vigencia! Obviamente "la...
Respuesta en y en 2 temas más a

Distancia entre dos pueblos Trigonometría

. :) Recuerda que un ángulo recto es un ángulo de 90º. El ángulo superior de tu esquema (donde está ubicado el globo) es -apenas- mayor que un ángulo recto. Luego decir que ese ángulo es de 110º es -ciertamente- correcto. Vamos a tu ejercicio: Se...
Respuesta en y en 2 temas más a

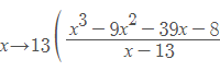
¿El siguiente limite tiene solución?

:) Hola! David. Me pregunto si antes de ponerte a factorizar se te ocurrió evaluar el polinomio del numerador en "13": ¿Cuánte te dio esa cuenta?... .
Respuesta en y en 2 temas más a

Como resuelvo el modulo, ¿Con distributiva o como?

:) Hola! Lorena La expresión l 13 + 20x l se lée: "Valor absoluto de 13 más 20x". Si "13 + 20x" es positivo o cero, el valor absoluto es ese mismo valor. Y si "13 + 20x" es negativo, el valor absoluto es ese mismo valor... ¡Pero positivo! Así las...
Respuesta en a

Teorema de Pitágoras generalizado en un triángulo obtusángulo

:) Hola! Danna. Como sabes, un triángulo tiene tres lados y tres ángulos. Debido a las relaciones que existen entre esos seis elementos, puedes conocer el valor de cada uno de los lados y de los ángulos si te brindan el valor de -al menos- tres de...

Al Resolver la ecuación diferencial dy/sen(x-y+1) =dx; si y(0)=π-1, el valor de la constante c

:) Hola! Henry. Tengo la "sospecha" que tienes mal estipulado el valor inicial. Me parece que debería ser: y(0) = π + 1 ¿Tienes forma de confirmarlo?... :) .
Respuesta en y en 1 temas más a

Inecuación racional con valor absoluto...

:) Hola! Candy (Y Lucas) Te presento otra forma de demostrarlo (haz click en la imagen para agrandarla): Saludos, Mario R. :) .
Respuesta en y en 3 temas más a

Como es la solución de una derivada usando el TFC

. O sea: ¿Quieres determinar la derivada de la función g(x)?... :) .
Respuesta en a

Como resolver estas inecuaciones valor absoluto...

:) Hola! Candy. Te muestro una forma de resolverlo (haz click en la imagen para agrandarla): Espero te sea de utilidad. :) .
Respuesta en y en 1 temas más a

Integrales Por Sustitución Trigonométrica. Se me ha dificultado este ejercicio no logro terminarlo bien.

:) Hola! Jhonatan. Te muestro una forma (haz click sobre la imagen para agrandarla): Saludos, Mario R. :) .

Temas

Suscríbete RSS