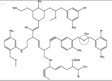
¿De acuerdo con el siguiente compuesto complejo en química orgánica definir?
De acuerdo con el siguiente compuesto complejo seleccionar con un círculo y ubica el nombre al lado
(Alqueno, alquino, benceno sustituido, alcohol, fenol, éter, amina, nitrilo, nitro), como se observa en el ejemplo.

1 respuesta
Respuesta de Albert Nuñez
3
