Lupiithaa Hrndez

Lupiithaa Hrndez

 México @lupiithaahrndez desde - visto
Preguntar

Preguntas

Pregunta en y en 1 temas más

Considerando la funcion tanh x demuestre que: ¿Tanhx^-1 x=1/2ln[1+x/1-x]?

Hola que tal pueden ayudar muchas Gracias por su tiempo y paciencia!!
Pregunta en y en 1 temas más

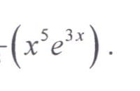
Buen día, necesito derivar la siguiente función

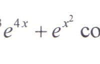
Buen Día! Solo necesito si alguien pueda ayudar a derivar estas dos funciones muchísimas gracias por su tiempo!
Pregunta en y en 1 temas más

¿Pueden derivar el siguiente ejercicio sen^2(xy)+xy^2=x^3+1?

Hola que tal estoy estancada en este ejercicio Gracias!! Sen^2(xy)+xy^2=x^3+1
Pregunta en y en 1 temas más

¿Alguien puede derivar el siguiente ejercicio?

Hola que tal pongo esto por acá para que puedan ayudarme saludos!!!
Pregunta en y en 1 temas más

X+y ≠k(π/2) y k E x se tiene que: tang(x+y)=tanx+tany/1-(tanx)(tany)

Hola de nuevo este problema si que me ha sacado canas verdes :D una gran satisfacciónm poder ayudarme!!
Pregunta en y en 1 temas más

Demostrar dados x, y E se tiene que

¿Pueden ayudar con este problema? Muchas Gracias por su tiempo!!!
Pregunta en y en 1 temas más

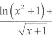
¿Derivar el siguiente ejercicio? D/d(x)(ln(x^2+1)+x^3/sqrt x+1)

Hola que tal espero y puedan ayudarme con estas dos derivadas sumamente agradecida estaré!
Pregunta en

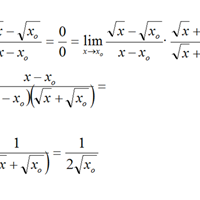
Se agradece de antemano calcular raíz de x-raíz dex0/x-x0 cuando limite----x0

El problema es así... Calcular sqrtx-sqrtxsubindice0/x-xsubindice0 cuando limx---xsubindice0
Pregunta en

¿Demostrar que f(x)=L si y solo si f(x+h)=L? Se los agradeceria muchisimo estoy atorada

¿Qué tal me pueden ayudar con estos dos problemas? En la imagen siguiente están correctamente excritos ya que como soy nueva no tengo ni idea de como redactar bien un problema. Enserio necesito ayuda...