luis aguilar

luis aguilar

 México @luisaguilar2 desde - visto
Preguntar

Preguntas

Pregunta en

Supongase que f(x0)=0 y que f'(x0)=6 ¿Cual es el valor de f(x0+h)/2h cuando lim h---0

Hola otra duda disculpen por las molestias supongase que f(x0)=0 y que f'(x0)=6 ¿Cual es el valor de f(x0+h)/2h cuando lim h---0 Gracias!
Pregunta en

Supongase que f(x)=L cuando limite tiende a x--0

Espero y me puedan ayudar muchas gracias por el apoyo ya que en esto de los limites estoy muerto
Sin respuestas
Pregunta en

Resolver (2x^3-3x^2-4x+2) cuando lim tiende a -3/2

Este es otro problema que tengo unas dudas espero y puedan ayudarme (2x^3-3x^2-4x+2) cuando lim tiende a -3/2
Pregunta en

Demostrar que si n es par, entonces 1/x^n=infinito limx--0 y que si n es impar entonces 1/x^n cuando lim x tiende a 0 no existe

Que tal hago lo que me aconsejo Valero Angel Serrano separar cada problema en una pregunta ojala y me pueda ayudar, los demás problemas ya quedaron entendidos. Gracias!
Pregunta en

Demostrar por medio de la definicion que (3x-5)=1 cuando lim tiende a 2

Me podrian ayudar a resolver estos ejercicos estoy muy atorado con estos de antemano muchas gracias Con los que puedan ayudarme se los agradecere infinitamente.
Pregunta en

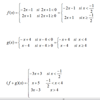
Dadas las funciones f(x) =|2x+1| y g(x) =|x-4| hallar la funcion por secciones para la funcion (f+g)(x)

Que tal me podrían ayudar con estos dos problemas se los agradecería 1.-dadas las funciones f(x) =|2x+1| y g(x) =|x-4| hallar la funcion por secciones para la funcion (f+g)(x) 2,. Dada la funcion f(x)=1/(x+1), hallar los valores xE tales que (f°f)(x)=x