Llaq Kmg

Llaq Kmg

Vivir
 20,0K puntos  España @llaqkmg desde - visto
Preguntar

Respuestas

Respuesta en a

Ejercicio sobre aplicación de fundamentos sobre estática

Con un dibujo para graficarlo. En una nave, el avance es opuesto a la dirección del viento que se empuja. 3ª ley de Newton. Si tienes una hélice empuja, el aire directamente en sentido contrario al que quieres ir.

Los iones tienen las siguientes cargas eléctricas:Ion1: 6mC (mili Coulom)Ion2: -2mCIon3: 4mC

En la teoría dice que las cargas de mismo signo se repelen y de diferente signo se atraen. Te respondo la Fuerza 1 debida a 3, de forma similar podrás hallar F 2 debido a 3. Todas las respuestas las puedes conseguir echando un vistazo a la teoría y...
Respuesta en y en 1 temas más a

¿Cómo se resuelve esto? Indica la función f(X)=√x+2 es creciente o decreciente en el intervalo [2,7]

REsuelvo primero la segunda, que tengo que practicar un poco. Pego las respuestas en varias partes porque no me alcanza la pantalla. En la primera he puesto que la función sería simétrica respecto a Y, este es el único caso en el que se puede hablar...

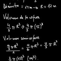
Como calcular el volumen de una semiesfera que cuyo diámetro es 24 metros

Sólo hay que hallar el volumen de la esfera y dividir entre 2.
Respuesta en a

Tengo una duda sobre cómo resolver este problema sobre inducción matemática

Me parece que debe haber algún error, o quizás no hayas copiado bien la pregunta. Si haces n = 1 , entonces debería cumplirse 1 +2¹ < 3¹ pero no se cumple, luego no es verdadero.
Respuesta en a

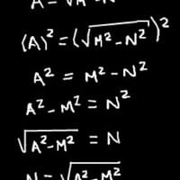
A=√M2-N2 despejar N por fa para que me ayuden rápido

Aquí como se hace por pasos
Respuesta en a

Encuentre la ecuación de la recta que pasa por el punto Q(-2,-4)

No sé si hay otro procedimiento más corto. La parte de álgebra me la he saltado y la comprobaión es hacer y=0 y x=0 en la ecuación de la respuesta. Si tienes dudas vuelves a preguntar.
Respuesta en y en 1 temas más a

Que tengo mal en esta desigualdad con valor absoluto doble ?

Cuando a mí se me complica el problema como en este caso, resuelvo elevando al cuadrado los términos encerrados en valor absoluto. Con el otro método, a veces me confundo y termino usando el que he puesto arriba para comprobar, con lo cual de todas...
Respuesta en a

Tres cargas q1=+Q, q2=-Q Y q3=-Q se encuentran situadas en los vértices de un cuadrado de lado L. Calcule el trabajo W que hay q

El trabajo es igual a W= q(Va - Vq); Vq es el potencial donde se encuentra la carga que se quiere mover. El trabajo tendrá signo negativo si es una fuerza externa la que mueve la carga.

Suscríbete RSS