Llaq Kmg

Llaq Kmg

Vivir
 20,0K puntos  España @llaqkmg desde - visto
Preguntar

Respuestas

Respuesta en a

Cual es la potencia empleada para elevar un motor que pesa 670 Newtons a una altura de 7 metros en un tiempo de 60 segundos

P = W/t Pero W = Fd Entonces P = Fd / t ( Fuerza en Newtons, distancia en metros, tiempo en segundos). P = (670 * 7) / 60 = 78.16 W (Watts).
Respuesta en y en 1 temas más a

Error en una serie de Taylor

Aquí la parte a). Sabes, yo aún no doy examen de esto y pensaba que te pedían el grado del polinomio al que había que desarrollar. Estaba esperando que alguien responda para saber cómo se resuelve, pero como no ha habido respuesta, yo he desarrollado...
Respuesta en y en 2 temas más a

Necesito resolver la siguiente ecuación

Resuelta paso a paso. REspuesta -2/3
Respuesta en y en 1 temas más a

Definición formal de límite, cuando hay funciones trigonométricas

Estas demostrciones siempre me confunden, porque me parece entrar en un bucle. He revisado unos cuantos ejemplos y creo que ya lo tengo. He hecho, delta = épsilon y sinx <= 1, se parte de una suposición y se comprueba la existencia de delta y épsilon...
Respuesta en y en 1 temas más a

Resolver integrales trigonométricas on secante y cosecante

Por fin he conseguido hacer la primera. Tengo un par de días rompiéndome la cabeza con la demostración epsilón delta que has preguntado antes, sé que es más sencillo de lo que pienso pero hasta ahora lo que hago yo mismo no lo veo claro, así que no...
Respuesta en y en 4 temas más a

¿Es necesario que el campo magnético varíe para inducir tensión?

No es necesario que el campo magnético varíe, pero sí que haya una intensidad de corriente inducida. En los motores de CC, puedes tener campo magnético fijo, si utilizan imanes permanentes, por ejemplo, la CC prodice una intensidad de corriente o...

Porfa vor para ahoritaa necesito esto que me resuelvan es teorema de pitagoras lo necesito para ya es una hoja de tarea de mate.

Tienes muchas en youtube https://www.youtube.com/watch?v=fUpxM3JHFq4 x ² = (5/2)² + (3/2)² X ² = 25/4 + 9/4 Si miras vídeos de youtube lo entenderás mejor, lo explican paso a paso.
Respuesta en y en 1 temas más a

Encontrar limite de una función que forma parte de otra función cuyo limite se conoce

Ana Paola. Esperaba que alguien te responda pero como no ha sido así, respondo yo con un método que no sé cómo demostrarlo. Cuando x tiende a 2, el denominador da cero, eso da una pista. Por la regla de L'Hopital sabemos que si una función da 0/0 ,...
Respuesta en y en 1 temas más a

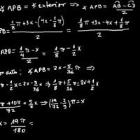
Apoyo en la resolución de ángulos.

Lo que piden es lo de la derecha que está respondido con lápiz ¿verdad? A mí me da otro resultado. En el libro de Geometría plana y del espacio y trigonometría de Aurelio Baldor, te vienen muy bien explicados, con demostraciones paso a paso de los...
Respuesta en y en 1 temas más a

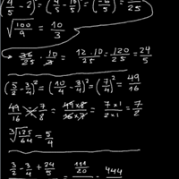
Como se desarrolla este ejercicio ?

Paso a paso.

Suscríbete RSS