Que tengo mal en esta desigualdad con valor absoluto doble ?
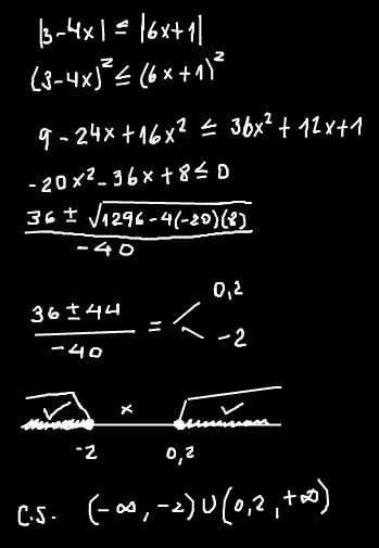
La desigualdad es : | 3 - 4x | ≤ | 6x + 1|
Yo la hice con el mètodo de intervalos pero algo tengo mal, pues a mi me da : CS = (- inf, 3/4) U [ 1/5, +inf) y la revisè en wolframalpha y la soluciòn es CS = ( -inf, -2 ) U [ 1/5, +inf), acà està el desarrollo del ejercicio, que es lo que tengo mal, hice varios ejercicios y en todos obtengo la misma soluciòn que en wolframalpha pero en este no......gracias.


2 respuestas
Respuesta de Daniella Zambrano
2
Respuesta de Llaq Kmg
1


Para evitar confusiones es útil hacer la gráfica de las dos expresiones. Ambas representan líneas rectas de distinta pendiente, por lo tanto en un punto se cruzan. Pero además, al tomarse los valores absolutos, las gráficas vuelven a cruzarse como si se reflejaran en el eje de las x.. - Herman Recabarren
Gracias - candy maritza