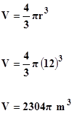
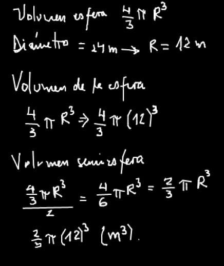
Como calcular el volumen de una semiesfera que cuyo diámetro es 24 metros
¿Como se resuelve esta operación, que no la entiendo y si podríais resolverla
2 respuestas
Respuesta de Luis Alberto Candio Salcedo
2
Respuesta de Llaq Kmg




