Respuesta
en
Matemáticas
a
Resolver ecuación con por en el exponente y base distinta
Respuesta
en
Matemáticas
a
Elevar al cubo dos partes de una igualdad
Es totalmente correcto! Lo he hecho y me ha dado también lo mismo:)
Respuesta
en
Algrebra
y en 1 temas más
a
Tengo una duda sobre algebra
Respuesta
en
Matemáticas
y en 3 temas más
a
Calcula las siguiente derivada de orden superior.
Respuesta
en
Matemáticas
a
Descompón 90 en factores primos i busca todos los divisores
Dividir en factores se trata de hallar que números multiplicados entre sí dan el número que se quiere factorizar, evidentemente esto se puede hacer de infinitas maneras, así que la búsqueda se limita a factores primos, es decir que estos números que...
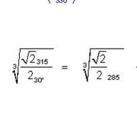
Respuesta
en
Matemáticas
a
Raíz de un número complejo
Respuesta
en
Matemáticas
a
Números complejos:no entiendo el cálculo del módulo
Respuesta
en
Matemáticas
y en 4 temas más
a
Desarrollo de problema calculo integral ..matematicas
Respuesta
en
Matemáticas
a
Derivación. Derivada de la función f(x)=x/In(x)...
Resolví este problema aquí: Determine la derivada de orden superior de la siguiente función Espero que te sirva, no olvides puntuar excelente si es así :)
Respuesta
en
Matemáticas
a
En un grupo de 6 chicos y 4 chicas, se seleccionarán cuatro niños...
Hay varias formas de plantear el problema: Básicamente sería : 6*4*3*2=144 El 6 es porqué el chico puede ser uno de 6 posibles. La siguiente chica que elijamos podrá ser una de 4(*4), para la siguiente sólo tendremos 3(*3) chicas para elegir (puesta...
