Pregunta en
Física
Estática sistema plano de fuerzas concurrentes F=(-250,-140)N
Necesito saber como se resuelve esto, el resultado es (286,53 N; 209º 14' 24''). Pero no entiendo como se llega, si necesitan un dato más pregunten. Saludos Gracias =)
Pregunta en
Matemáticas
Problema de Amplitud y Periodo (Funciones Trigonométricas)
Es el 4)a). El problema lo entiendo, entiendo que el periodo de 20 y la amplitud de 4 por simple deducción de coordenadas, pero mi problema es con la siguiente parte del resultado "-c/b<=x<=(2TT-c)/b". Me cuesta entender con se resuelve...
Sin respuestas
Pregunta en
Matemáticas
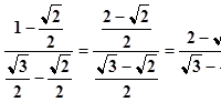
Trigonométrica ¿Cuanto es x? Cos² x + 1/4 = (1/2 + sen x)²
Necesito saber cuanto vale por y si también me dicen algunas propiedades básicas y fundamentales para funciones trigonométricas gracias =)
