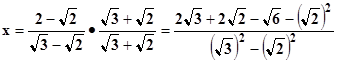
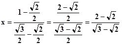
¿ Cuanto es "(sen 60º - cos 45º) x = 1 - sen 45º"?
La respuesta es (2√3+2√2-√6-2) pero no puedo resolverlo analíticamente para que me de eso. Ayuda !
2 Respuestas
Respuesta de Luis Alberto Candio Salcedo
1
Respuesta de Valero Angel Serrano Mercadal
1

k