Pregunta en
Topografía
y en 1 temas más
El origen de coordenadas se ha trasladado al punto O’(3, -4). Las coordenadas de los puntos A’(1, 3), B’(-3, 0) y C’(-1, 4)
Traslación El origen de coordenadas se ha trasladado al punto O’(3, -4). Las coordenadas de los puntos A’(1, 3), B’(-3, 0) y C’(-1, 4) están determinadas en el nuevo sistema. Calcula las coordenadas de estos puntos en el sistema de coordenadas original.
Sin respuestas
Pregunta en
Matemáticas
¿De cuantas formas se pueden asignar 24 robots idénticos a 4 líneas de ensamblaje de modo que
Estrategias de conteo ¿De cuantas formas se pueden asignar 24 robots idénticos a 4 líneas de ensamblaje de modo que: 1. Al menos 3 robots se asignen a cada línea 2. Al menos 3 y no más de 9 robots se asignen a cada línea
Sin respuestas
Pregunta en
Matemáticas
Encuentra los puntos de intersección de los siguientes dos planos
Geometría analítica Encuentra los puntos de intersección de los siguientes dos planos P1: –4x + y + 2z = –12 P2: 2x – y + 2z = 2
Sin respuestas
Pregunta en
Matemáticas
Halla la distancia del punto al plano indicado Punto (1, -2, 3), plano 2x – 3y + 2z – 14 = 0
Geometría analítica Halla la distancia del punto al plano indicado: Punto (1, -2, 3), plano 2x – 3y + 2z – 14 = 0
Sin respuestas
Pregunta en
Matemáticas
Encuentra la ecuación del plano que pasa a través de los puntos (3, 4, 1), (-1, -2, 5) y (1, 7, 1)
Geometría analítica Encuentra la ecuación del plano que pasa a través de los puntos (3, 4, 1), (-1, -2, 5) y (1, 7, 1)
Sin respuestas
Pregunta en
Matemáticas
Realiza la gráfica de la ecuación lineal 3x+y=-6 en el espacio de tres dimensiones
Geometría analítica: Superficies en el espacio Realiza la gráfica de la ecuación lineal 3x+y=-6 en el espacio de tres dimensiones
Sin respuestas
Pregunta en
Matemáticas
Realiza la gráfica de la ecuación y=5 en 3 dimensiones
Geometría analítica: superficies en el espacio Realiza la gráfica de la ecuación y=5 en 3 dimensiones
Sin respuestas
Pregunta en
Matemáticas
Sea (X, Y) un vector aleatorio con función de probabilidad como aparece abajo
Probabilidad Sea (X, Y) un vector aleatorio con función de probabilidad como aparece abajo. En cada caso encuentre las funciones de probabilidad marginales f_X (x) y f_Y (y)
Sin respuestas
Pregunta en
Matemáticas
y en 1 temas más
Sean (X, Y) un vector aleatorio discreto con función de probabilidad dada por la siguiente tabla.
Probabilidad Sean (X, Y) un vector aleatorio discreto con función de probabilidad dada por la siguiente tabla. Encuentre P(X=0.1< = Y< 3) y F_(X,Y) (-3,1,5)
Sin respuestas
Pregunta en
Matemáticas
y en 1 temas más
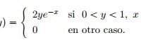
Sea (X, Y) un vector aleatorio continuo con función de probabilidad como se indica abajo.
Probabilidad Sea (X, Y) un vector aleatorio continuo con función de probabilidad como se indica abajo. Encuentre y grafique la correspondiente función de distribución
Sin respuestas