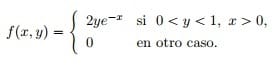
Sea (X, Y) un vector aleatorio continuo con función de probabilidad como se indica abajo.
Probabilidad
Sea (X, Y) un vector aleatorio continuo con función de probabilidad como se indica abajo. Encuentre y grafique la correspondiente función de distribución
