Pregunta en
Matemáticas
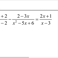
Como Resolver esta ecuación racional?
Pregunta en
Matemáticas
¿Cuál es el C.ES de esta ecuación?
Pregunta en
Matemáticas
¿Cómo debo resolver este SEL ?
Pregunta en
Matemáticas
¿Cuál es el C.V.A y C.S de esta ecuación racional?
Pregunta en
Matemáticas
¿Cómo resolver esta ecuación racional?
Pregunta en
Matemáticas
¿Cómo se cuando un polinomio ya esta factorizado en su totalidad?
Pregunta en
Matemáticas
