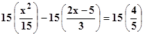
¿Cómo le doy forma canónica a estas ecuaciones cuadráticas?

Quiero darle forma canónica a estas ecuaciones para aplicar fórmula general, ¿cómo hago?
1 respuesta
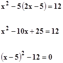
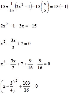
Respuesta de Luis Alberto Candio Salcedo
1



