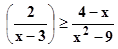
Como Resolver esta ecuación racional?
Paso a Paso por favor, Muchas gracias. Gahshdh jsjdbdb jahdhdhhsbsjak. Akka

1 respuesta
Respuesta de Luis Alberto Candio Salcedo
1




