Jos Vassssssssss

Jos Vassssssssss

 Costa Rica @josealexisvasquez desde - visto
Preguntar

Preguntas

Pregunta en y en 2 temas más

Tengo una duda de como hacer la gráfica de esta función con derivadas...

Necesito ayuda para hacer la gráfica de esta función con derivadas...
Pregunta en y en 2 temas más

Tengo una duda de como resolver esta función con derivadas

Necesito ayuda para hacer las gráfica de esta función con todos sus pasos.
Sin respuestas
Pregunta en y en 2 temas más

Tengo una duda de como resolver este limite con radicales...

Hola, tengo una duda de como resolver el siguiente limite con radicales..
Pregunta en y en 2 temas más

Necesito calcular el siguiente limite

Hola, necesito ayuda para resolver este limite que se in determina...
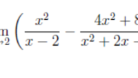
Pregunta en y en 2 temas más

Tengo una duda de como resolver este limite..

Hola, tengo una duda de como resolver los siguientes limites y saber si estos existen..
Pregunta en y en 2 temas más

Necesito calcular este limite que incluye radicales...

Hola, tengo una duda de como resolver los siguientes limites y saber cual es la solucion..
Pregunta en y en 2 temas más

Tengo una duda de como resolver los siguientes limites

Hola, tengo una duda de como resolver los siguientes limites y saber si estos existen...
Pregunta en

Tengo una duda de como resolver un problema de función lineal

Necesito ayuda para resolver este problema de función lineal. Nota colones es una moneda de un país.
Pregunta en

Necesito resolver una ecuación trigonométrica

Necesito ayuda para resolver esta ecuación trigonométrica, seria de gran ayuda ... Adjunto la imagen del ejercicio..
Pregunta en

Tengo una duda sobre como resolver problemas con logaritmos

Hola! Tengo una duda de como resolver el siguiente problema con ecuación logarítmica...