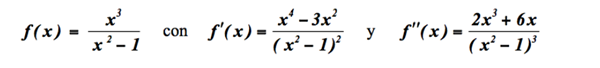
MatemáticasCálculoProfesores Jos Vassssssssss el 21 nov. 16 Tengo una duda de como resolver esta función con derivadas Necesito ayuda para hacer las gráfica de esta función con todos sus pasos. Seguir Siguiendo Dejar de seguir