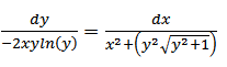
Matemáticas Hector Orobio Valencia el 6 jul. 17 ¿Cuál es la solución general de esta ecuación diferencial? \frac{dy}{dx\:}=\frac{-2xyln\left(y\right)}{x^2+\left(y^2\sqrt{y^2+1}\right)} Seguir Siguiendo Dejar de seguir