Actividad pública reciente
Ha valorado "Excelente" la respuesta
Incremento de utilidad y elasticidad de la demanda
Falta la función Escribe la
Ha preguntado en el tema en
Matemáticas
y en 1 temas más
Sabiendo que el costo marginal (la derivada de la función de costo total), para la fabricación de uno de sus productos está dado
Esta dado por Determina la función de costo total y el monto del mismo si se fabrican 5 unidades y se considera que el costo fijo es cero (es decir, la constante de integración).
Sin respuestas
Voto positivo a la respuesta
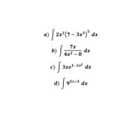
¿Como determinar las integrales de las funciones siguientes?
Coincido con Valero, te dejo las preguntas c ; d
Ha valorado "Excelente" la respuesta
Como resuelvo la siguiente integral
Confirma que sea la integral que escribo abajo
Voto positivo a la respuesta
¿Cómo resolver integrales por el método de sustitución?
La primera necesita una integral "sencilla", la segunda se resuelve directo
Voto positivo a la respuesta
Ejercicio de Integral definida y por sustitución
Voto positivo a la respuesta
Alguien me podría asesorar con ev análisis marginal
Ale Smith! · No se entiende la fórmula de la utilidad Up=40015-pp-2 Dime si quieres decir esta u otra. Revisa el enunciado y espero la aclaración.
