Resolver el siguiente autómata e identificar si es AFD o AFND
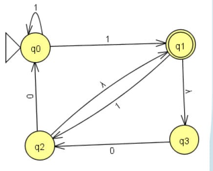
Teniendo en cuenta el siguiente autómata identifique si es AFD o AFND, Si es un AFD genere un AFND que reconozca el mismo lenguaje; o por lo contrario si el autómata inicial es un AFND, genere un AFD que reconozca el mismo lenguaje.

1. Describa la forma matemática del autómata
2. Identifique los elementos (tupla que es) (Asociadas con los elementos del autómata del ejercicio propuesto).
3. Muestre en el simulador (gráficamente) como recorre una cadena válida. Explique cada secuencia. (No se trata solo de captura las imágenes, estas deben ser explicadas en pié de página o de lo contrario no tienen validez)
4. Muestre el diagrama de Moore generado en JFLAP y en VAS.
5. Identifique la ER asociada al nuevo diseño y compárela con la expresión regular simplificada (es decir analícelas con dos cadenas válidas y con dos no válidas). Para ello debe identificar en una tabla la jerarquía de operadores regulares, identificando con colores las sentencias matemáticas.