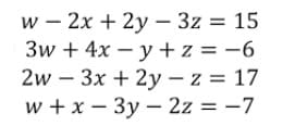
Solucione el siguiente sistema de ecuaciones utilizando los Método de eliminación de Gauss.
El método de Gauss consiste en transformar un sistema de ecuaciones en otro. Solucione el siguiente sistema de ecuaciones utilizando los Método de eliminación de Gauss.
