Apoyo para realizar el Teorema Fundamental del Calculo
Alguien me puede orientar con este ejercicio del teorema fundamental del calculo
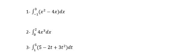
Resuelve cada uno de los siguientes ejercicios, realizando un análisis y procedimiento para cada uno de ellos (sustento matemático visto en el curso) e identificando primero con qué parte del TFC se a resolver (1 o 2 y en qué consiste).

1 respuesta
Respuesta de Norberto Pesce
1
