Mitsuki  .....

Mitsuki .....

Lo unico imposible es aquello que no intentas =D
 Colombia @dayanacaballero desde - visto
Preguntar

Preguntas

Pregunta en y en 4 temas más

Quien puede probar que la ecuación del plano pasa por el origen y la línea de intersección

Amigos de todoexpertos les pido su colaboración en la solución de este problema.
Pregunta en y en 2 temas más

Quien resuelve problemas de fricción de física general

Amigos de todoexpertos les pido su ayuda en la colaboración de la solución de este problema.
Pregunta en y en 2 temas más

Quien puede resolver problemas de Fuerzas de fricción.

Amigos de todoexpertos le pido su colaboración en la solución de este problema.
Pregunta en y en 3 temas más

Quien puede hallar la ecuación de un plano

Dar la ecuación del plano que contiene a los puntos A= (1,2,1); B= (1,0,1); C= (0, 1, -1)
Sin respuestas
Pregunta en y en 3 temas más

Quien puede hallar ecuaciones de una recta

- Hallar las ecuaciones de la recta que pasa por el punto (2,2, -3) y es perpendicular a las rectas cuyos vectores dirección son (2, -1,3) y – (-1,2,0)
Pregunta en y en 2 temas más

Resuelve los siguientes problemas por el método Gauss Jordán.

Una granja avícola incluye en la dieta de sus aves vitaminas B, C y DE, para evitar enfermedades así como un desarrollo más rápido. En cierto mes compraron 20 cajas de vitamina B, 40 cajas de vitamina C y 50 cajas de vitamina DE pagando $70000, al...
Pregunta en y en 3 temas más

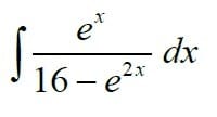
Quien resuelve Integral Indefinida - Integral Definida

Integral Indefinida - Integral Definida Aplicando las propiedades y definición de integral, resolver las siguientes integrales:
Pregunta en y en 2 temas más

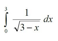
Quien puede resolver la siguiente integral enunciando claramente la técnica o propiedad usada.

Resolver las siguientes integrales enunciando claramente la técnica o propiedad usada.
Pregunta en y en 3 temas más

Quien puede resolver esta integral impropia

Evaluar las siguientes integrales impropias si convergen o divergen
Pregunta en y en 2 temas más

Quien puede hallar la distancia de un barco

Amigos de todoexpertos le pido la solución para este problema