Respuesta
en
Impuestos y Fiscalidad
a
Factura negativa de trimestre anterior
Metela este año con fecha de 1 de Octubre y listo. En el caso de que hacienda te revisase, peor es no declarar un abono (para ellos te has deducido más gasto) que meterlo en el siguiente trimestre. A nosotros (trabajo en una asesoría) jamas nos han...
Respuesta
en
Fiscalidad empresarial
y en 2 temas más
a
¿Factura con o sin iva si el comprador es residente en España?
Tu facturas a la empresa, independientemente de donde se entregue la mercancía. Si facturas a una empresa con domicilio fiscal en España, facturas con iva. En el caso de que fuese al revés, facturarías sin iva siempre que te acrediten que están en...
Respuesta
en
Contabilidad
y en 1 temas más
a
Duda contable relacionada con retenciones de pagos a profesionales de asesoría laboral
Normalmente cuando presupuestan, de empresa a empresa, únicamente hacen referencia a la base, sin tener en cuenta ni retenciones ni otros impuestos. Por un lado, al exponeros que el importe a pagar asciende a 50 euros yo entiendo que se refiere a...
Respuesta
en
Matemáticas
y en 1 temas más
a
Regla de 3 simple directa
Si 15 litros se bombean en 3 minutos, 1200 se bombean en x. Al ser regla de 3 directa: 15---------------3 1200-----------x Con lo x= (1200*3)/15= 240 minutos. Como te piden horas, solo queda dividirlo entre 60 para cambiar los minutos horas: 240/60=4...
Respuesta
en
Matemáticas
a
Ejercicio polinomios aritméticos
Al ser todo sumas o restas, tienes que empezar por los paréntesis (de los de dentro hacia los de fuera. Tendrías dos formas de resolverlo: 1. Resolviendo cada una de las operaciones: Conviene recordar que - con - es +, y -con + es -...
Respuesta
en
Matemáticas
a
El área de un rectángulo es de 96 cm cuadrados y el largo más el ancho, 20 cm. ¿Cuáles son las dimensiones del rectángulo?
Suponemos que los lados son x e y. El área sera x.y. Desarrollado el enunciado tenemos que: x.y=96, x+y=20. Esto nos genera un sistema de ecuaciones. De la segunda ecuación obtenemos que x=20-y; si sustituimos esto en la primera: (20-y).y=96; con lo...
Respuesta
en
Matemáticas
a
¿Cuál es la solución correcta de este problema matemático 8÷2(2+2) es 1 o 16?
Efectivamente, es 16, lo primero sería la suma del paréntesis, quedaria: 8 /2*4: al no haber paréntesis el orden es tal cual está escrito, primero 8 entre 2 y después el resultado por 4; osea 4*4=16.
Respuesta
en
Ingeniería Química
y en 3 temas más
a
¿Cuántos gramos de hidróxido de magnesio necesitas pesar?
Con la molaridad y el volumen podemos sacar la cantidad de hidróxido necesario en moles ya que Molaridad=moles/Vol (L), con lo que los moles serán la concentración por el volumen en litros: moles=3.5M*0.35L=1,225 moles de hidróxido son los que...
Respuesta
en
Química
y en 2 temas más
a
Tengo una duda de estiquiometria (química)
Lo de que uno de. Los reactivos este en exceso significa que la reacción de va a dar hasta que se termine el otro reactivo. Si te dan cantidades de todos los reactivos tendrías que ver cual se termina antes, cual es el reactivo limitante que no se si...
Respuesta
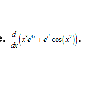
en
Matemáticas
a
