Pregunta en
Matemáticas
y en 2 temas más
Ejercicio de optimización caja volumen máximo
Sin respuestas
Pregunta en
Matemáticas
y en 1 temas más
Problema de razones de cambios, cálculo diferencial.
La tabla siguiente presenta el porcentaje de trabajadores de cierto país que se dedicaron a labores agrarias durante ciertos años. Suponga que el porcentaje de trabajadores que se dedicaron a las labores del campo se puede modelar con la función?...
Sin respuestas
Pregunta en
Matemáticas
y en 2 temas más
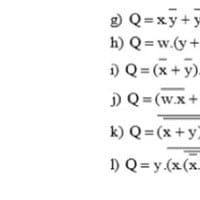
¿Cómo se simplifican estas expresiones booleanas?
Sin respuestas
Pregunta en
Matemáticas
y en 1 temas más
Encontrar solución para esta ecuación diferencial:
Quisiera perdirles ayuda con este ejercicio para calcular una solución de la siguiente ecuación diferencial:
Sin respuestas
Pregunta en
Matemáticas
y en 1 temas más
Ejercicio de ecuación diferencial, hallar yp
Pregunta en
Matemáticas
y en 1 temas más
Determinar una segunda solución de una ecuación diferencial y una solución particular...
Pregunta en
Matemáticas
y en 1 temas más
Problema de formular una ecuación diferencial
Pregunta en
Matemáticas
y en 2 temas más
Problema de ecuaciones lineales (ecuaciones diferenciales)
Tengo dudas sobre cómo resolver este ejercicio:
Pregunta en
Matemáticas
y en 2 temas más
Ejercicio de ecuaciones lineales (ecuaciones diferenciales)
Quisiera saber cómo se resuelve este ejercicio:
Pregunta en
Matemáticas
y en 1 temas más
La cantidad de bolitas de chocolate que caen...
Quisiera saber cómo se puede realizar este ejercicio: La cantidad de bolitas de chocolate que caen sobre cada una de las galletas preparadas en la Pasteleria Madamia tiene una media de 5 . ¿Cuál es la probabilidad de que una galleta seleccionada...
