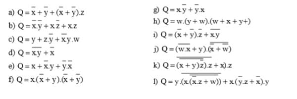
MatemáticasIngeniería ElectrónicaÁlgebra Mila Cu el 13 oct. 19 ¿Cómo se simplifican estas expresiones booleanas? Quisiera saber cómo se simplifica estas expresiones booleanas: Seguir Siguiendo Dejar de seguir