Pregunta en
Cálculo
y en 1 temas más
Hallar Dirección de máximo crecimiento
Como Hallo la dirección de máximo crecimiento de la función f(x, y)= (x -y)e^(3x^2-4y) en el punto (2, 3)
Sin respuestas
Pregunta en
Matemáticas
y en 1 temas más
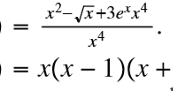
Como hallo las primitivas de estas funciones
Pregunta en
Matemáticas
y en 1 temas más
Como resuelvo este ejercicio de estudio de funciones
Pregunta en
Matemáticas
y en 1 temas más
Como resuelvo este ejercicio de maximizar
Pregunta en
Matemáticas
y en 1 temas más
Que significa cuando una sucesión o serie tiende a un número e
Quiero saber que significa cuando una sucesión o serie tiende a e o su límite es e. Por ejemplo lim x->infinito (1+(1/x))^x= e
Pregunta en
Matemáticas
y en 1 temas más
Como veo la discontinuidad de estas funciones
Pregunta en
Matemáticas
y en 1 temas más
Como veo si son convergente estas series
Pregunta en
Matemáticas
y en 1 temas más
Como cálculo los límites laterales de una función definida a trozos.
Pregunta en
Matemáticas
y en 1 temas más
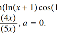
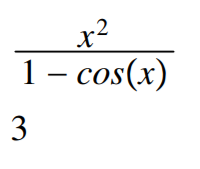
Alguna forma de resolver estos dos ejercicio que no sea con el teorema de squeeze o l 'hospital
Pregunta en
Matemáticas
y en 1 temas más
