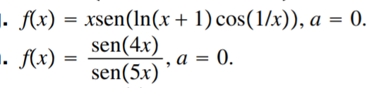
Alguna forma de resolver estos dos ejercicio que no sea con el teorema de squeeze o l 'hospital

debo analizar si existe

 calcularlo en caso que exista.

Quiero saber si hay otra forma de resolver este ejercicio sin que sea con el teorema de squeeze o l hospital.

1 respuesta

Respuesta
1

A ver si te sirve lo siguiente

$$\begin{align}&\lim_{x \to 0} x sen(ln(x+1)\cos(1/x))\\&\text{Acá no hay mucho para hacer, simplemente sabemos que la función seno está acotada entre -1 y 1}\\&\text{y que la función x tiende a 0, por lo tanto el producto entre algo que tiende a 0 y algo que está acotado, tiende a 0}\\&\lim_{x \to 0} \frac{sen(4x)}{sen(5x)}\\&\text{Acá voy a usar el límite conocido del seno } \lim_{x \to 0} \frac{senx}{x}=1\\&\text{Multiplico y divido por 5x}\\&\lim_{x \to 0} \frac{sen(4x)}{sen(5x)}=\lim_{x \to 0} \frac{sen(4x)}{sen(5x)}\cdot \frac{5x}{5x}=\\&Reacomodo\\&\lim_{x \to 0} \frac{sen(4x)}{5x}\cdot \frac{5x}{sen(5x)}=\\&Reescribo\\&\lim_{x \to 0} \frac{sen(4x)}{4x\cdot x}\cdot \frac{5x}{sen(5x)}=\\&Reacomodo\\&\lim_{x \to 0} \frac{sen(4x)}{4x}\cdot \frac{1}{x}\cdot \frac{5x}{sen(5x)}=\\&\text{Tenemos dos funciones que tienden a 1 y una que tiende a infinito, por lo tanto todo tenderá a infinito}\\&\lim_{x \to 0} \frac{sen(4x)}{4x}\cdot \frac{1}{x}\cdot \frac{5x}{sen(5x)}=\infty\end{align}$$

Se que no tienes que usar L'Hopital, pero puedes usarlo para verificar que estén bien los resultados...

Salu2

Añade tu respuesta

Haz clic para o

Más respuestas relacionadas