Luis Aguilarr

Luis Aguilarr

 Tamaulipas, México @bobpuiitaz desde - visto
Preguntar

Preguntas

Pregunta en y en 1 temas más

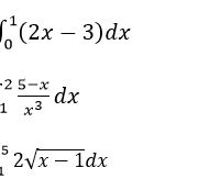
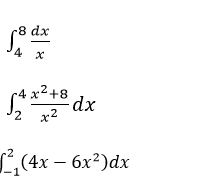
¿Como calcular las siguientes integrales definidas?

Calcular las siguientes integrales definidas si no es mucha molestia!
Pregunta en y en 1 temas más

Calcular la siguientes integrales indefinidas

Ayuda con las siguientes dos integrales indefinidas se los agradecería mucho
Pregunta en y en 1 temas más

Evalúa las siguientes integrales usando la segunda parte del teorema fundamental del cálculo

Pueden ayudarme con estas integrales usando la segunda parte del teorema fundamental del calculo. Gracias!
Pregunta en y en 1 temas más

Integrales sobre la primera parte del teorema fundamental del cálculo

Espero y me ayuden con estos problemas de integrales usando la primera parte del teorema fundamental del calculo
Sin respuestas
Pregunta en y en 2 temas más

La oxidación del óxido nítrico a dióxido de nitrógeno es una etapa clave en la formación del neblumo (smog):

2NO (g) + O2 (g) -----à 2NO2 (g) ∆Ho = -113.1 kJ Si reaccionan 6.00 moles de NO con 3.00 moles de O2 a 1 atm y 25oC para formar NO2, calcúlese el trabajo realizado (en kilojoules) en contra de una presión de 1.00 atm. ¿Cuál es el ∆E para esta...
Pregunta en y en 1 temas más

Calcular la siguiente derivada de función implícita, suponiendo que y depende de x.

Hola buen día tengan todos, si alguien puede ayudar con esta derivada se los agradezco mucho!
Pregunta en y en 1 temas más

¿Calcular f'(0) y f''(x) dada la siguiente funcion f(x)?

¿Hola qué tal me podrían ayudar con esta función?
Pregunta en y en 1 temas más

¿Pueden demostrar el siguiente ejercicio? D/dx[tan^-1(x)]=1/1+x^2

¿Hola qué tal aquí de nuevo alguien puede ayudar con este ejercicio?
Pregunta en y en 1 temas más

¿Pueden demostrar la siguientes identidades?

Hola que tal no es mucha molestia si alguien pueda ayudarme a demostrar las siguientes identidades? Saludos y buen día!!
Pregunta en y en 1 temas más

F(x)=x^3-4x definida sobre el intervalo [-2,2] hallar el valor cE (-2,2) que satisface f'(c)=0

Hola que tal alguien puede ayudarme a realizar este problema? Saludos y bendiciones.