Integrales sobre la primera parte del teorema fundamental del cálculo
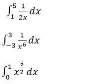
Espero y me ayuden con estos problemas de integrales usando la primera parte del teorema fundamental del calculo

Espero y me ayuden con estos problemas de integrales usando la primera parte del teorema fundamental del calculo
