Axeel Galvan

Axeel Galvan

 México @axeelgalvan desde - visto
Preguntar

Preguntas esperando respuesta

Actividad pública reciente

Ha preguntado en el tema en

¿Como resolver de manera correcta el siguiente ejercicio? URGE

La función de C(q) de una marca alimenticia de la empresa vinícola, está dada por: C(x) = 300 –10x^2+ (1/3) x^3 El gerente de marca quiere saber la producción de “x” en la cual: El costo Marginal es mínimo El costo promedio es mínimo ATENCIÓN ya...
Ha empezado a seguir a
Ha empezado a seguir a
Ha añadido un comentario en una respuesta de la pregunta

Se pide: Calcular el punto de equilibrio, el excedente del producto y el excedente del consumidor

respondió: La fúncion de la demanda es la decreciente, la llamaré d(q) d(q) = 1200 - 1.5q^2 y la de la oferta es la creciente que llamaré f(q) f(q) = 200+q^2 El excedente del consumidor es el dinero que se han ahorrado los consumidores por la competencia del...
Ha añadido un comentario en una respuesta de la pregunta

Calculo para el costo marginal

respondió: No ha salido la función de costo. Mándala de nuevo, si es preciso escríbela a mano pero pon todos los paréntesis que necesite, sobre todo si hay numeradores y denominadores.
Ha añadido un comentario en una respuesta de la pregunta

Determinar lo excedentes del consumidor y del porductor

respondió: Supondré que p es el precio y x la cantidad. Si es al revés me lo dices, que cada libro usa las letras como le da la gana. El excedente del consumidor es el dinero que se han ahorrado los consumidores por la competencia del mercado y el del productor...
Ha añadido un comentario en una respuesta de la pregunta

Saber ingreso marginal para demanda

respondió: La v es una letra que muy bien puede ser una variable en una expresión. Luego no puede usarse como símbolo de la raíz cuadrada. La forma internacional de expresar la raíz cuadrada es sqrt() con el contenido siempre dentro del paréntesis Sqrt(x)...
Ha añadido un comentario en una respuesta de la pregunta

Cual es la solución al limite de productividad p (t)=50(t2+4t) / t2+3t+20 si el tiempo tiende a 2 hr

respondió: 1) Supongo que todo lo que va tras / es denominador. Para que no haya ambigüedad hay que encerrar los denominadores siempre entre paréntesis. Tampoco es admisible el uso de números por la derecha para expresar exponentes, ya que nada impide que...
Ha valorado "Excelente" la respuesta

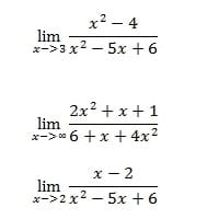
¿Cual es el limite de los siguientes ejercicios?

respondió: ;) Te hago los tres primeros. Otros expertos te acabarán de responder. Recuerda que has de votar las respuestas: la indeterminación infinito/infinito clásicamente se resuelve dividiendo numeradory denominador por la x elevada al exponente más grande....
Ha empezado a seguir a
Ha empezado a seguir a
Ha añadido un comentario en una respuesta de la pregunta

Reto matemático: solución a esta historia

respondió: Interesante problema. El campesino atravesó tres veces el puente y se quedo sin dinero Antes de pasar la tercera vez tenía 16 monedas, porque se duplicaron y fueron las ultimas 32 que tiró. El acto anterior fue tirar las 32 monedas de la segunda...