Pregunta en
Matemáticas
y en 3 temas más
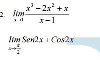
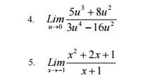
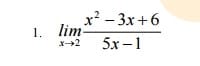
Quien Análisis de Límites y Continuidad.
Vvvvvvvvvvv vvvvvv vvvvvv vvvvvvvvvvvvvv vvvvvvvvv vvvvvvvvv vvvvvvvvvvvvvvv vvvvvvvvvvvvvvvvvvvvvvvvv vvvvvvvvvv vvvvvvvvvvvv vvvvvvv vvvvvvvv vvvvvvvvvv vvvvvvvvvv vvvvvvvvvv vvvvvvvvvvv vvvvvvvvvvvvvv vvvvvvvvvvvvvvvv vvvvvvvvvvvv vvvvvvvvvvvvvvv
Pregunta en
Matemáticas
y en 2 temas más
Análisis de Límites y Continuidad.calculo diferencial
------------------------------------------------------------------------------------------------------------------------------------------------------------------------------------------------------------
Pregunta en
Ingeniería Industrial
y en 3 temas más
Como es termodinámica, matemática, física, calculoSituación industrial:
Como es termodinámica, matemática, física, calculo Situación industrial: La industria El punto azul pálido dedicada a la producción y comercialización de ácido acético ha decidido diseñar su propia planta de generación de potencia, para ello, el...
Sin respuestas
Pregunta en
Cálculo
y en 2 temas más
Tengo una duda calculo matematicas
Pregunta en
Matemáticas
y en 2 temas más
Una sobre Análisis de Límites y Continuidad.
Pregunta en
Matemáticas
y en 4 temas más
Como es termodinámica, matemática, física, calculo
Pregunta en
Matemáticas
y en 4 temas más
