Pregunta en
Matemáticas
y en 1 temas más
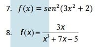
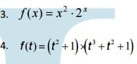
Aplicando las reglas de la derivación calcular las siguientes derivadas
Pregunta en
Matemáticas
y en 3 temas más
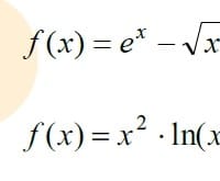
Quien analiza los cálculo de derivada
Pregunta en
Matemáticas
y en 3 temas más
Quien gano el matemáticas física ... ... ... ... ... ... ...
Pregunta en
Matemáticas
y en 2 temas más
Quien gana matemáticas calculo física
Pregunta en
Matemáticas
y en 2 temas más
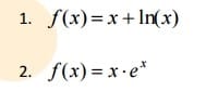
Quien matematicas derivadas de calculo. Derivadas. Derivadas. Derivadas. Derivadas.
Pregunta en
Matemáticas
y en 3 temas más
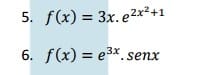
Aplicando las reglas de la derivación calcular las siguientes derivadas.
Pregunta en
Matemáticas
y en 2 temas más
Que es el analisis de calculo matematicas
Pregunta en
Matemáticas
y en 4 temas más
Quien analiza los ejercicios de ternodinamica
Sin respuestas
