Quien gana matemáticas calculo física

g g g gg gg g g gg gg g g gg gg g g gg gg g g gg gg g g gg gg g g gg g

1 respuesta

Respuesta
1

·

·

¡Hola Andrés!

En estas ya hay que usar la regla de la cadena que es fundamental en esto de las derivadas.

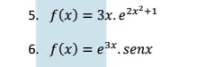
$$\begin{align}&(f+g)'=f'+g'\\&(f·g)'=f'g+fg'\\&(f[g(x)])'=f'([g[x)]·g'(x)\\&\\&(x^n)' = nx^{n-1}\\&(e^x)'=e^x\\&(sen\,x)'= \cos x\\&\\&5) f(x) = 3x·e^{2x^2+1}\\&\\&f'(x) = (3x)'·e^{2x^2+1}+3x·\left(e^{2x^2+1}\right)'=\\&\\&3e^{2x^2+1}+3x·e^{2x^2+1}·(2x^2+1)'=\\&\\&3e^{2x^2+1}+3x·e^{2x^2+1}·4x=\\&\\&3e^{2x^2+1}+12x^2e^{2x^2+1}=\\&\\&\text{Y se puede sacar factor común}\\&\\&= 3e^{2x^2+1}(1+4x^2)\\&\\&\\&6)  f(x)=e^{3x}sen\,x\\&\\&f'(x)=\left(e^{3x}\right)'senx+e^{3x}(sen x)'=\\&\\&e^{3x}·(3x)'·sen\,x+e^{3x}·\cos x=\\&\\&e^{3x}·3·senx+ e^{3x}\cos x=\\&\\&\text{sacamos factor común}\\&\\&e^{3x}(3\,senx+cosx)\end{align}$$

:
:

Añade tu respuesta

Haz clic para o

Más respuestas relacionadas