Pregunta en
Matemáticas
y en 2 temas más
Necesito Calcular derivadas de orden superior, ¿Cómo le hago?
Hola necesito calcular derivadas de ordensuperior, el material que me proporcionaron no lo entendí . D^4/(d^4) cos(3x))
Pregunta en
Matemáticas
y en 1 temas más
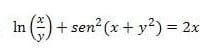
3.-Derivadas de funciones implícitas, “y” depende de “x”.
Pregunta en
Matemáticas
y en 2 temas más
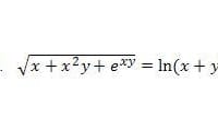
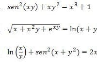
2.- Calcula las siguientes derivadas de funciones implícitas
Pregunta en
Matemáticas
y en 3 temas más
Calculo: Dada la siguiente función calcular
Pregunta en
Matemáticas
y en 1 temas más
Calcula las siguientes derivadas de funciones implícitas, suponiendo que “y” depende de “x”.
Pregunta en
Ciencias e Ingeniería
y en 1 temas más
