Diosa Lara

Diosa Lara

 Chile @andcarl desde - visto

Preguntas

Pregunta en y en 1 temas más

Como podría realizar este ejercicio de dinámica, para calcular la aceleración con una gravedad de -10m/seg^2 3ra ley de newton

3ra ley de newton plano inclinado Como podría realizar este ejercicio de dinámica, para calcular la aceleración con una gravedad de -10m/seg^2 esa es mi duda ya que a=g=-10m/seg^2 y estoy confusa al realizarlo Mantengo un angulo de 30grados Fuerza de...
Pregunta en y en 1 temas más

Como podría resolver el siguiente ejercicio de cinemática del siguiente problema

Como podría resolver el siguiente ejercicio de cinemática, o mediante que fórmula exactamente ya que esa es mi duda por donde comenzar... Como podría resolver el siguiente ejercicio de cinemática, o mediante que fórmula exactamente ya que esa es mi...
Pregunta en y en 2 temas más

Método para calcular condiciones exactas de un VECTOR (Calculo Vectorial)

Hallar con las condiciones que se indican del siguiente ejercicio, estoy confundida al realizarlo, no se por donde empezar agradecería ayuda lo antes posible
Pregunta en

Interpretación Resultados examen perfil tiroideo y glicemia post-pandrial

Hace unos aprox 10 días me realice dichos examens... Ya que mi ginecóloga al yo tener problemas menstruales me los mando a realizar... Por otro lado mi mama sufre de tiroides. Quisiera saber o por lo menos tener idea del resultado (significado) del...
Sin respuestas
Pregunta en

¿Como podría responder a un resultado de integrales triples dando un resultado negativo (-)?

Tengo este ejercicio, pero me da un resultado negativo -20x o en tal caso lo podría dejar como una descomposición factorial, ¿Qué podría explicar para este ejercicio?
Pregunta en

¿Tengo una duda sobre integrales por partes? Tengo errores en mi ejercicio, revisión.

Este ejercicio es simple al parecer pero el e^xy dy me tiene confundida
Pregunta en

Integrales iteradas mediante método por partes

Deseo ayuda con este ejercicio mediante método integrales por partes:
Sin respuestas
Pregunta en

¿Desearía me asesore en este ejercicio, y si mantengo error me lo haga saber, integrales dobles mediante cambio de variable?

Desearía me asesore en este ejercicio, y si mantengo error me lo haga saber, int dobles mediante cambio de variable. Gracias agradecería la ayuda. Mi duda es cuando finalizo con raices en resultado.
Pregunta en

Que podría realizar en cuanto a propiedades del ln

Tengo como resultado en un ejercicio el siguiente: 1/2*[ln(2)-1] mi duda es podría restar 2 -1 y ese resultado multiplicarlo con el 1/2? Tengo una duda seria ya que he olvidado la parte de propiedades ln. Ayuda, gracias
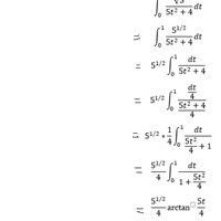
Pregunta en

Como (dudas) al resolver integral definida arctg

Intente resolver un ejercicio el cual le había formulado alguna pregunta anteriormente... Solo que tenia tiempo que no veía una de estas integrales. Agradecería correcciones en cuanto a lo que he acotado. Gracias, saludos