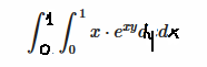
Matemáticas Diosa Lara el 6 jul. 15 Integrales iteradas mediante método por partes Deseo ayuda con este ejercicio mediante método integrales por partes: Seguir Siguiendo Dejar de seguir